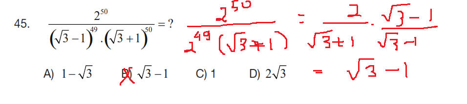
PEMBAHASAN SOAL PASIAD 5 PENYISIHAN (FINISH) Dan Lajanto 5:54:00 PM Soal dan Pembahasan Edit Pembahasan soal pasiad 5 babak penyisihan. Soal terdiri atas 50 soal pilihan ganda. Selesai juga pembahasan pasial 5 babak penyisihan.. Share This: Facebook Twitter Pinterest Linkedin Whatsapp Whatsapp About Dan Lajanto This is a short description in the author block about the author. You edit it by entering text in the "Biographical Info" field in the user admin panel. RELATED POSTS
0 komentar:
Post a Comment